4educa+ion

Top Links Menu

  • Google scholar
  • ReseachGate
  • WoS
  • YouTube
  • GrabCAD
  • Orcid
  • Scopus
  • Sinta
  • Github
  • Phone
  • Email
  • QQ
  • Experiences
  • Heritage

Oct 7, 2023

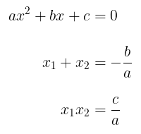
Mathematical (3 Quadrat)

 Quadrat equation.


Cubic equation,

Quartic Equation




By 4educa+ion
Newer Post Older Post Home

SEARCH

ARCHIVES

  • Additive Manufacture
  • Aerospace
  • Ansys
  • AutoCAD
  • Autocad Plant3D
  • Bioengineering
  • Blogger
  • Book
  • Database
  • Design
  • Doa
  • Education
  • Engineering
  • Equation
  • FEM
  • Fluent
  • Information
  • Journal
  • Konstruksi/Construction
  • Laravel
  • Linux
  • Luratul Arabic
  • Manufacture
  • Materials
  • MySQL
  • Networking
  • OJS
  • PHP
  • Piping and Instrument
  • Problem & Solution
  • Python
  • Reverse Engineering
  • Security
  • Server
  • Software
  • SolidWorks
  • Standarization
  • Tender
  • Tips & Trick
  • Turbine
  • Website
  • Windows Server
  • Word/Excel

4educa+ion. Powered by Blogger.